【喜报】我校在“奋进新征程,献礼二十大”2022年鲤城区中小学师生绘画、书法、非遗传统工艺作品展评活动中喜获佳绩
日期:2022-11-21 18:44:21 发布人:fsdqzjys5 浏览量:208
打印本文
近期,为深入贯彻落实习近平新时代中国特色社会主义思想,喜迎党的二十大胜利召开,展示中小学师生艺术创作和非遗传统工艺校园传承成果,鲤城区教师进修学校举办了“奋进新征程,献礼二十大”2022年鲤城区中小学师生绘画、书法、非遗传统工艺作品展评活动,我校师生积极参与,精心书写与描绘,把对祖国和党最真切的爱融入到创作中,展现了爱党爱国的深厚情怀,向党的二十大献礼。

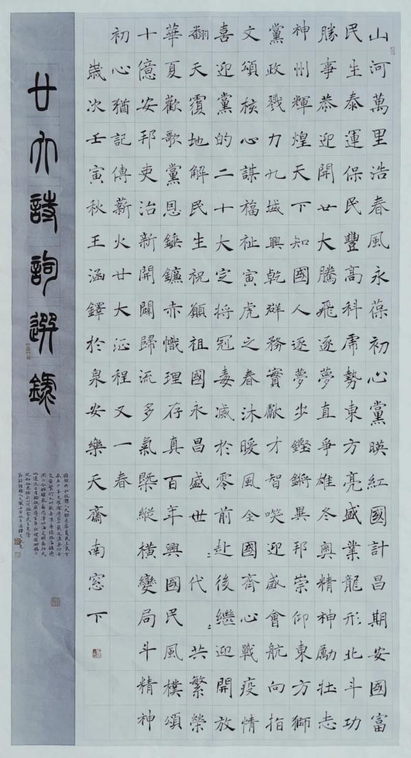
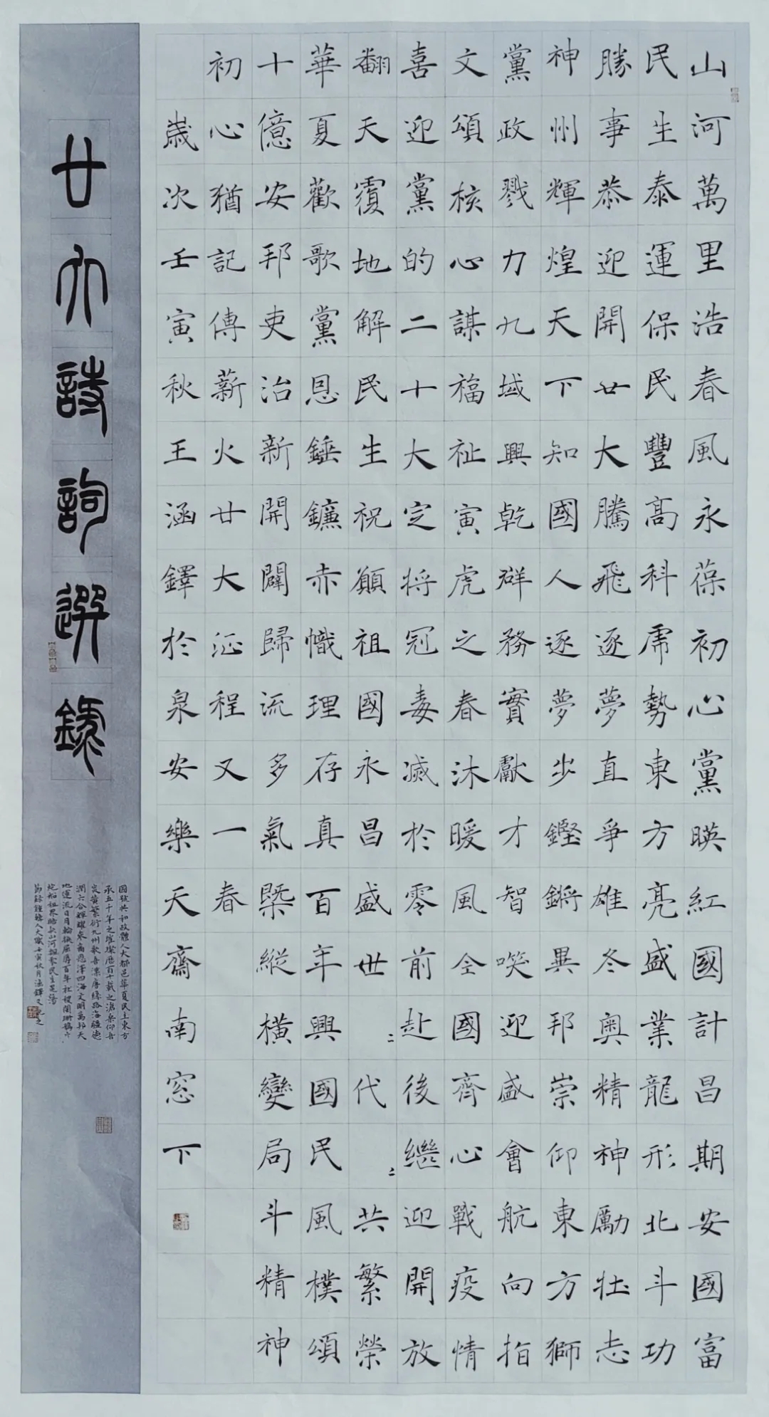
教师书法作品:《廿大诗词选录》 王涵铎
教师书法作品:《歌咏新时代诗词三首》 杨朝晖
教师绘画作品:《双塔凌空》林嘉亲
学生书法作品:《毛泽东诗词选抄》郭俊鑫
学生书法作品:《喜迎二十大诗词五首》张圣超
学生书法作品:《迎二十大诗选录》苏世睿
学生书法作品:《喜迎二十大诗一首》邱思琪
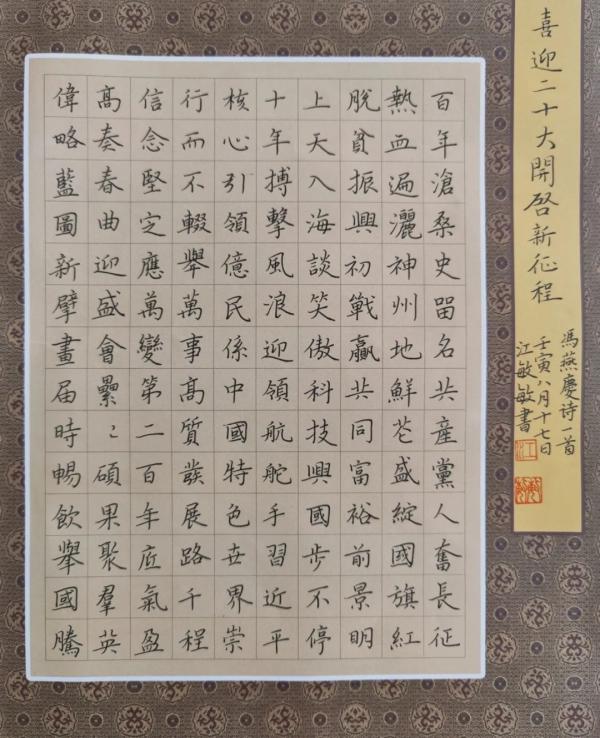
学生书法作品:《喜迎二十大开启新征程》江敏敏
学生绘画作品:《龙腾盛世谱华章》付橦铜






